中咨視界
馬博 周睿 | 長江經濟帶科技創新效率的時空格局及收斂性分析
| |||||
| |||||
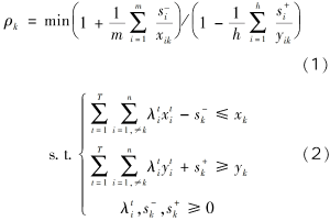
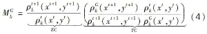
摘要:正確認識和研判長江經濟帶科技創新效率的變化特征有助于更好地發揮科技創新對經濟高質量發展的支撐作用。基于2002-2019年長江經濟帶沿線11省份的面板數據,利用GS-SBM模型測度了長江經濟帶的科技創新效率,分別使用Malmquist指數、Dagum基尼系數以及 Sigma收斂、Beta絕對(條件)收斂考察了長江經濟帶科技創新效率的演變、空間差距和收斂性。研究發現:長江經濟帶及其上、中、下游地區科技創新效率整體上而言保持提升趨勢,且存在較大空間差距,超變密度對總體差距的貢獻最大;長江經濟帶及其上、中、下游地區科技創新效率幾乎不存在Sigma收斂和Beta絕對(條件)收斂;長江經濟帶發展戰略實施之后,科技創新效率提高得更加明顯,并從技術進步與技術效率的雙重驅動轉變為更多地依靠技術進步,科技創新效率的擴散狀態更強。基于此,研究認為要科學辯證地看待區域科技創新效率的差距,發揮長江經濟帶發展戰略和科教興國戰略在提升和平衡科技創新效率中的積極作用。 關鍵詞:長江經濟帶;科技創新效率;時空格局;收斂性 科技創新是長江經濟帶建設現代經濟體系、實現高質量發展的戰略支撐,是推動中國式現代化的第一力量。經過多年的對外開放,長江經濟帶已經融入了全球分工體系,但是大量本土企業被鎖定在產業鏈或者產品價值鏈的中低端,必須依靠科技創新才能實現在全球價值鏈上的攀升。同時,雖然長江經濟帶是我國重要的現代工業集聚地,工業基礎扎實、規模龐大,但是關鍵核心技術仍然缺乏,尤其是在以美國為首的西方國家對華遏制和挑戰的情況下,需要以科技創新來解決“卡脖子”問題,加快實現高水平科技自立自強。此外,為了加快經濟增長,長江經濟帶沿線多個省市推進工業化和城鎮化,忽略了人與自然的和諧共生,導致長江沿線部分地區環境污染問題突出,生態功能退化,碳排放持續增加。基于此,無論是貫徹落實習近平總書記“共抓大保護、不搞大開發”的指示精神,還是如期或者率先實現碳達峰碳中和目標,都要求長江經濟帶沿線省市轉變發展模式,走生態優先、綠色低碳發展之路,發揮科技創新在經濟綠色轉型中的支撐作用。 由于科技創新本質上來講是一種知識生產過程,所以就存在科技創新成果的產出與科技創新資源和要素的投入比問題,即科技創新效率的高低,這種高低變化分別反映在時間和空間上差距:一是在某一區域內科技創新資源和要素投入的持續增長,并沒有帶來相應的科技創新產出數量增長或者質量的提升;二是將同樣的科技創新資源和要素投入到不同區域,其科技創新產出數量或者質量顯著不同。這兩個維度分別刻畫了區域內與區域間科技創新效率的差別,不僅影響了科技創新資源和要素的配置,而且也影響了科技創新對經濟發展的貢獻程度,成為區域發展不平衡的底層因素之一,給區域協調發展帶來了較大的挑戰。除此之外,我國依然是世界上最大的發展中國家,科技創新資源較歐美發達國家而言則相對稀缺,這就需要通過提高科技創新效率來實現科技創新資源的最大化利用。 為了更加充分和有效地利用長江經濟帶科技創新資源,促進長江經濟帶經濟高質量發展,就必須正視科技創新效率在時間和空間上的演變,科學認識科技創新效率向高水平收斂的機制,因此,不僅要考察長江經濟帶科技創新效率的動態變化規律,還需要充分考慮科技創新效率的區域不平衡問題,即其上、中、下游地區之間以及各自內部科技創新效率的差距變化。本文首先基于數據包絡方法測度了長江經濟帶及其上、中、下游地區的科技創新效率,分解了導致科技創新效率變化的驅動因素,然后利用dagum基尼系數考察了長江經濟帶及其上、中、下游地區的科技創新效率的空間差距及其形成來源,接著分別采用Sigma收斂和Bate收斂來檢驗了長江經濟帶及其上、中、下游地區的科技創新效率的收斂性,最后給出了相關對策啟示。 一、文獻綜述 多年來,我國一直高度重視科技創新在國民經濟發展中的重要作用,將推動科技創新做為黨治國理政的核心內容之一。在中國共產黨第二十次全國代表大會報告提出“必須堅持科技是第一生產力、人才是第一資源、創新是第一動力”。鑒于此,有學者圍繞我國科技創新問題從多個角度展開了研究,取得了一批較高質量的成果。這里針對本文的研究目的,主要對科技創新效率方面的相關研究進行了綜述。 從現有研究看,針對科技創新效率的測度方法主要是隨機前沿模型(SFA)和數據包絡分析(DEA)。由于SFA 模型屬于參數方式,所以在使用它測度科技創新效率時不僅要事先明確投入變量與產出變量之間的函數關系,而且對變量的平穩性和變量之間的協整關系要求較高。DEA方法采用線性規劃技術測算效率,除了不需要事先確定生產函數的形式,還能夠完成多投入多產出情形下的科技效率測度,實現不同樣本點與效率最優點之間的比較,因此被廣泛地采用。譬如,劉愛芹等[1] 、孫凱[2] 、李婧等[3] 、李南等[4] 、李政等[5]利用傳統的徑向DEA模型對不同區域的創新效率進行了測算,但傳統徑向DEA模型存在松弛變量、跨期比較和有效率決策單元效率比較等諸多問題,影響了效率測度結果的可靠性,從而推動了新拓展的DEA方法在測度科技創新效率上的應用。其中,王春枝等[6]利用非徑向超效率DEA模型測度了我國區域創新效率的動態變化;韓兆洲等[7]采用 Bootstrap-DEA方法測度了中國省際創新效率;朱承亮[8]也使用該方法測算了包括中國在內的36個國家的科技創新效率;白俊紅等[9]利用全局參比DEA模型分析了 1998-2012年中國各省市區的區域創新效率;趙慶等[10]利用松弛變量模型(Slacks-Based Measure,簡稱SBM模型)模型測度了2009-2016 年中國省際科技創新效率;趙凱旭等[11]采用超效率DEA模型(Super-Slacks?Based Measure,簡稱 Super-SBM模型) 研究 2000-2015年省域尺度下我國區域創新效率的時空變化。 由于我國區域發展不平衡現象比較突出,一些學者開始在科技創新效率測度的基礎上進一步模型對我國30個省份創新效率進行了測算,并分析了東中西部創新效率,東部地區要明顯高于中西部地區,尤其是在科研效率上表現更加明顯;趙增耀等[13] 利用2000-2012年數據分析了東部地區、東北、中部地區和西部地區的創新效率,發現中國4個地區創新效率差異顯著,呈現東部、東北、中部和西部地區依次遞減的特征。在區域差距的測算方法上,為了揭示區域差距的來源,Dagum基尼系數逐步成為研究和分析區域發展空間不平衡問題的重要工具[14-15]研究其時空差距。余泳澤等[12]利用三階段 DEA模型對我國30個省份創新效率進行了測算,并分析了東中西部創新效率,東部地區要明顯高于中西部地區,尤其是在科研效率上表現更加明顯;趙增耀等[13]利用2000-2012年數據分析了東部地區、東北、中部地區和西部地區的創新效率,發現中國4 個地區創新效率差異顯著,呈現東部、東北、中部和西部地區依次遞減的特征。在區域差距的測算方法上,為了揭示區域差距的來源,Dagum基尼系數逐步成為研究和分析區域發展空間不平衡問題的重要工具[14-15]。 近年來,有學者在測度科技創新效率和分析科技創新效率時空差距的基礎上,還檢驗了科技創新效率的收斂性。呂巖威等[16]利用SBM-DEA模型對中國省際綠色創新效率進行測度,在分析其時空躍遷特征的同時,進一步考察了綠色創新效率的收斂性;韓兆洲等[17]在測度我國省際創新效率的基礎上,分區域考察了創新效率的動態趨勢和變化以及其收斂性質;楊蹇等[18]分別測度了京津冀、粵港澳、長三角、長江經濟帶和黃河流域等區域科技創新效率,并分析了其時空格局及收斂趨勢。 綜上所述,目前關于區域科技創新效率的研究已經形成一個基本的框架,即“ 測度—時空格局—收斂性”。本研究雖然立足這一框架,但是在已有的研究上進行了兩個方面的拓展:一是以長江經濟帶及其上、中、下游地區的科技創新效率為研究對象,揭示了其變化趨勢、時空格局以及收斂性;二是比較了長江經濟帶發展戰略實施前后科技創新效率的變化趨勢、時空格局及收斂性的異同。 二、研究方法與數據說明 (一)全局參比的超效率SBM模型 Pastor等[19]提出可以采用全局參比的SBM模型,以解決傳統的DEA效率評價方法不能夠對不同效率水平進行跨期比較的問題。本文通過構建全局參比的SBM模型來測度長江經濟帶科技創新效率,以便進一步分析長江經濟帶科技創新效率的變化特征。 式中, (二)全局參比的Malmquist指數 基于全局參比的超效率SBM模型,第k個DMU的科技創新效率從時期t到時期t+1的跨期變動可以用公式(3)來表示: 式中, 記為全局參比下的Malmquist指數,將其減去1可以得到科技創新效率的增長率,從而可以用來衡量科技創新效率的變化。Cooperate等[20]為了識別效率變化的驅動力,將 Malmquist指數分解為技術效率(EC)和技術進步(TC)。Malmquist指數的分解如式(4) 所示, 和 分別表示在當前參比下時期t和時期t+1的投入產出效率值。 (三)科技創新效率的收斂檢驗方法 通常用于收斂性檢驗的方法有Sigma收斂、Beta收斂和俱樂部收斂等,其中Beta收斂又分為Beta絕對收斂和Beta條件收斂,被廣泛用于分析不同國家或者區域發展水平的增長率趨勢。 科技創新效率的Sigma收斂刻畫了不同區域科技創新效率偏離整體水平的離差程度,如果離差隨著時間變化而縮小,則認為Sigma收斂[21]存在。在對科技創新效率的Sigma收斂性檢驗中,通常采用科技創新效率對數的標準差來表示,如式(5)所示:科技創新效率的Sigma收斂刻畫了不同區域科技創新效率偏離整體水平的離差程度,如果離差隨著時間變化而縮小,則認為Sigma收斂[21]存在。在對科技創新效率的Sigma收斂性檢驗中,通常采用科技創新效率對數的標準差來表示,如式(5)所示: 式中, 式中, 在式(7)中, (四)樣本數據說明與處理方法 為了探索長江經濟帶科技創新效率的變化特征,本文采用的數據樣本為長江經濟帶沿線11省份,時間跨度為2002-2019年。 投入變量的相關說明。科技創新投入主要有R&D人員和R&D資本存量,其中,R&D人員投入以R&D人員全時當量來表示,R&D資本存量以永續盤存法來進行核算[27],基期為2001 年。由于R&D資本折舊比傳統資本更快,在永續盤存法中將R&D資本的折舊率設定為15%[28]。同時,還通過對名義 R&D進行平減來消除價格因素的影響,平減所需的 R&D價格指數等于消費者價格指數和固定資產投資價格指數的加權平均數,權重分別為55% 、45% 。R&D人員全時當量和R&D資本存量所需的R&D經費支出都來自歷年《中國統計年鑒》。 產出的變量的說明。科技創新產出可以分別從數量、質量和經濟效益等3個維度來體現出來。首先,在數量上,分別就發明專利、實用新型專利和外觀設計專利按照50% 、30% 和20% 的權重計算專利數量;其次,在質量上,借鑒寇宗來等[29]的方法,將復旦大學產業發展研究中心發布的城市創新力指數按照省際層面進行加總,得到長江經濟帶11個省份的2001-2016年的創新能力指數,繼而采用指數平滑的方法補齊2017年、2018年和2019年的創新力指數;最后,在經濟效益上,由于技術市場交易額通過市場機制反映了科技創新的效益轉化能力,所以用技術市場交易額來衡量經濟效益。發明專利、實用新型專利和外觀設計專利等來自歷年《中國統計年鑒》,城市創新能力指數來自復旦大學產業發展研究中心的《中國城市和產業創新力報告2017,技術市場交易金額來自歷年《中國科技年鑒》。 在Beta條件收斂模型中,控制變量通過以下具體指標來測度:經濟發展水平用人均實際GDP的對數來表示,對外開放程度、創新基礎設施水平和產業結構變化分別使用進出口總額、通信業務總收入和第三產業產值占名義GDP的比例來表示,人力資本則用專科以上學歷人數占6歲及以上人口總數的比例來表示。人均實際GDP、進出口總額、通信業務總收入、第三產業產值、名義GDP和專科以上學歷人數占6歲及以上人口總數等數據均來源于國家統計局數據庫和歷年《中國統計年鑒》。 三、科技創新效率的變化趨勢 (一)科技創新效率的測度結果 在使用數據包絡模型進行效率評價時,通常會假設規模收益不變(Contant returns to scale,CRS)或者規模收益可變( variable returns to scale,VRS)。由于每個DMU不僅在規模上存在差別,而且規模報酬可能出現遞增或者遞減的情況,因此,與VRS假設下測算的效率結果相比,CRS假設下測算的效率結果可能偏低。當這兩種假設下所測度的結果不同時,有學者傾向于選擇VRS假設下的測度結果[18,20-31] ,因此本文在比較了在CRS和VRS假設下分別測度的長江經濟帶科技及其上、中、下游地區的創新效率,選擇了VRS假設下的結果。 圖1刻畫了長江經濟帶及其上、中、下游地區2001-2019年科技創新效率的變化。在近20年來,在多項產業轉型政策、科技政策等的共同作用下,長江經濟帶科技創新效率持續提高,長江經濟帶科技創新效率在2001年為0.165,2019年為0.627。其中,長江上、中、下游地區的科技創新效率分別從2011年的 0.191、0.193、0.145提高到2019年的0.667、0.605、0.596。在2001-2004年,長江中游地區的科技創新效率要低于長江經濟帶的科技創新效率,而長江上、下地區的科技創新效率則高于長江經濟帶的科技創新效率;在2005-2014年,長江中游地區的科技創新效率快速提升,要高于長江經濟帶的科技創新效率,而長江上、下游地區的科技創新效率則低于長江經濟帶的科技創新效率;在2014-2019年,長江中游地區的科技創新效率則低于長江經濟帶的科技創新效率,長江上、下游地區的科技創新效率則高于長江經濟帶的科技創新效率,且長江上、中、下游地區的科技創新效率之間的差距較之前變大。從長江上、中、下游地區科技創新效率的變化來看,長江下游地區在長江經濟帶發展戰略提出之前雖然科技創新基礎條件、人才儲備與科技創新的創新環境等方面都比較好,但是其在科技創新的投入也較大,使得其科技創新效率在較長時間內低于長江中游和上游地區,長江經濟帶發展戰略提出之后,長江下游各省市更加重視科技創新落實長江經濟帶發展戰略的作用,科技創新效率得以提升。長江上游地區科技創新基礎條件相對較弱,對創新人才和創新資本的投入也相對不足,所以其在長江經濟帶發展戰略提出前的相當長時間科技創新效率也比較低,隨著近些年成都、重慶等中心城市高度重視科技創新在落實長江經濟帶發展戰略中的積極作用,不斷優化創新創業環境,增強了對科技創新資源和要素的吸引力,科技創新效率也得到相應地提升。長江中游地區雖然創新資源要低于長江下游地區,但是其科技基礎扎實,投入相對長江下游地區要少,使得科技創新效率在長江經濟帶發展戰略提出前十年都高于長江上、下游地區,但是長江經濟帶發展戰略提出后,雖然長江中游地區也增加了對創新的投入,但是創新的產出沒有相應的增加,使得其科技創新效率較長江上、下游地區要低。 圖1 科技創新效率的變化趨勢 (二)科技創新效率的演變趨勢及驅動力分解 圖2給出了2001-2019年長江經濟帶及其上、中、下游地區科技創新的Malmquist指數。科技創新效率的 Malmquist指數反映了本期到下期科技創新效率的變化,可以用于對科技創新效率進行動態分析。從整體上來看,長江經濟帶科技創新效率的Malmquist指數除了2001年外均大于1,說明長江經濟帶科技創新效率一直在提高。從分流域來看,長江上游地區創新效率變化較長江中、下游地區的科技創新效率變化幅度大,其中,2005年科技創新效率僅為2004年的85%,而2018年的科技創新效率則為2017年的 142.7% ;長江中、下游地區的科技創新效率除了個別年份之外科技創新效率的Malmquist指數都大于1,即表明其科技創新效率持續提高。 圖2 科技創新效率的Malmquist指數變化趨勢 Malmquist指數可以分解為技術進步指數和技術效率指數,其中,前者主要刻畫了由于要素質量的提高和科技技術進步所導致的效率變化程度,后者著重反映了諸如要素配置水平和規模經濟水平等的變化在技術不變條件下對效率的影響。從圖3中可以看到,在長江經濟帶發展戰略實施之前,無論是長江經濟帶還是長江上、中、下游地區的科技進步指數大于技術效率指數的年份幾乎相等,技術進步和技術效率改善的雙重作用驅動了長江經濟帶及其上、中、下游地區的科技創新效率提高。在長江經濟帶發展戰略實施后,長江經濟帶及其上、中、下游地區的技術進步指數普遍高于技術效率指數,即科技創新效率的提高更多來自于技術進步。 圖3 科技創新效率的技術進步指數與技術效率指數 四、空間差距及其來源分解 考慮到Dagum基尼系數不僅可以刻畫區域空間差距,而且能夠將其來源分解地區內差距、地區間差距以及超變密度,因此,這里利用Dagum基尼系數來考察長江經濟帶及其上、中、下游地區的科技創新效率的空間差距和來源,具體的分解計算方法參見Dagum[32]的做法。 (一)科技創新效率的差距及其演變趨勢 圖4描述了2002-2019年長江經濟帶科技創新效率的總體差距,可以看到這些年長江經濟帶科技創新效率變化具有兩個特點:一是長江經濟帶科技創新效率的 Dagum基尼系數均大于0.9,說明長江經濟帶科技創新效率長期保持著大的差距;二是長江經濟帶科技創新效率的Dagum基尼系數隨著時間的推移持續減小,尤其是長江經濟帶發展戰略實施后,科技創新效率的Dagum基尼系數縮小的速度加快,即科技創新效率的區域不平衡減緩得更快。 圖4 科技創新效率的總體差距 圖5刻畫了2002-2019年長江經濟帶上、中、下游地區內科技創新效率的差距。一是長江經濟帶上游和下游地區內科技創新效率的Dagum基尼系數均大于0.79,中游地區內科技創新效率的Dagum基尼系數大約0.74,表明在這三大區域內科技創新效率差距較大,且中游地區內科技創新效率差距相對要小于上游和下游地區;二是長江經濟帶上、中、下游地區內科技創新效率的Dagum基尼系數整體上呈現出明顯的下降趨勢,表明在這三大區域內科技創新效率的差距趨于縮小;三是長江經濟帶戰略實施后長江經濟帶上、中、下游地區內彼此之間科技創新效率的差距變大,尤其是長江下游地區內的科技創新效率差距要大于長江上游和中游地區。 圖5 區域內科技創新效率的差距 圖6刻畫了長江經濟帶上、中、下游地區間科技創新效率的差距,從圖中可以發現,一是長江經濟帶上、中、下游地區間科技創新效率的Dagum基尼系數均大于0.77,這意味著長江經濟帶上、中、下游地區間的科技創新效率差距較大;二是長江經濟帶下游與上游間科技創新效率差距最大,從2010年開始長江經濟帶下游與中游地區之間科技創新效率的差距要大于同期中游與上游地區之間的科技創新效率差距。三是長江經濟帶發展戰略實施后長江經濟帶中游地區與上游地區之間科技創新效率的差距和上游地區與下游地區之間的科技創新效率之間的差距在變化上趨于一致。 圖6 區域間科技創新效率的差距 (二)科技創新效率空間差距的來源 圖7刻畫了2002-2019年長江經濟帶科技創新效率總體差距的來源。從總體來看,區域內差異、區域間差異和超變密度對長江經濟帶科技創新效率總體差距的貢獻分別約為33.33% 、6.06%和60.61% ,超變密度對長江經濟帶科技創新效率總體差距的貢獻最大。從具體分解的長江經濟帶科技創新效率空間差距的來源來看,區域內差異對長江經濟帶科技創新效率空間差距的貢獻先上升,接著開始下降,最后又有所增加;區域間差異對長江經濟帶科技創新效率空間差距的貢獻先是持續下降,然后上升,在長江經濟帶戰略實施之后又開始下降;超變密度對長江經濟帶科技創新效率空間差距的貢獻在2012年之前基本上是增加狀態,隨后開始下降,在長江經濟帶戰略實施之后再度回升。盡管從趨勢變化上來看,區域內差異、區域間差異和超變密度對長江經濟帶科技創新效率總體差距的貢獻有所變化,但是在從數值角度來看,三者對長江經濟帶科技創新效率總體差距的貢獻基本穩定。 圖7 科技創新效率空間差距的來源 五、收斂性檢驗 (一)Sigma收斂檢驗 圖8刻畫了2002-2019年長江經濟帶及其上、中、下游地區科技創新效率的Sigma收斂系數的變化情況。長江經濟帶科技創新效率的Sigma收斂系數除了在205年之前出現短暫明顯下跌之外基本上處于上升趨勢,這表明長江經濟帶科技創新效率總體趨向發散。長江中游、下游地區科技創新效率的Sigma收斂系數長期呈上升趨勢,長江上游地區Sigma收斂系數在2006-2013年之間出現了持續小幅下降之后又開始上升。在長江經濟帶發展戰略實施之后,長江經濟帶及其上、中、下游地區科技創新效率的Sigma收斂系數上升更加明顯。綜上所述,長江經濟帶及其中、下游地區的科技創新效率幾乎未呈現出Sigma收斂特征,長江上游地區的科技創新效率則在一段時間內呈現了 Sigma收斂特征。 圖8 科技創新效率的Sigma收斂系數 (二)Beta絕對收斂檢驗 表1給出了Beta絕對收斂和絕對俱樂部收斂檢驗結果。從全樣本時期看來,長江經濟帶及其上、中、下游地區的科技創新效率的Beta系數顯著為正。因此,長江經濟帶及其上、中、下游地區的科技創新效率都不存在Beta絕對收斂。從分時期來看,無論是長江經濟帶發展戰略實施前還是后,長江經濟帶及其上、中、下游地區科技創新效率都不存在Beta絕對收斂,且長江經濟帶發展戰略實施后,除了中游地區外,長江經濟帶及其上、下游地區的科技創新效率Beta系數明顯增加,表明擴散的程度進一步加大。 表1 Beta絕對收斂和絕對俱樂部收斂檢驗結果 (三)Beta條件收斂檢驗 長江經濟帶從上游到下游地區在經濟發展水平、科技創新基礎條件等方面存在較大差異,Beta絕對收斂的結果可能會受到外部因素的影響而改變,因此,本文進一步考察了Beta相對收斂和條件俱樂部收斂,其檢驗結果見表2。 無論是從全樣本時期來考察,還是分為長江經濟帶發展戰略實施前后來看,長江經濟帶及其上、中、下游地區都不存在Beta條件收斂,其中,長江經濟帶發展戰略實施后,Beta的值變得更大。事實上,收斂性反映了樣本的差異隨著時間推移而降低的特性,并最終處于一種均衡狀態,但是由于樣本所處的發展階段以及外部條件的影響,樣本的差異在某個時段,尤其是處于快速發展時期或者受到外部條件的強力干預,可能不僅沒有降低,反而擴大了,即所謂的擴散。無論是從前述的Sigma收斂和Beta絕對收斂,還是這里的Beta條件收斂,長江經濟帶及其上、中、下游地區的科技創新效率幾乎都傾向于擴散,且長江經濟帶發展戰略實施之后擴散程度加劇,主要是因為長江經濟帶及其上、中、下游地區處于創新發展轉型階段,經濟發展水平、科技創新要素與資源等的差異導致科技創新效率的時空差距變化較大,長江經濟帶發展戰略的實施加強了轉型力度,擴大了多個區域科技創新效率的差距。 表2 β 相對收斂和條件俱樂部收斂檢驗結果 從全樣本時期控制變量對科技創新效率的影響來看,經濟發展降低了長江經濟帶及其上、中、下游地區的科技創新效率。盛彥文等[33]認為經濟發展水平的提高可以為科技創新提供更多的研發資金,從而可以提升科技創新需求與科技創新效率。不過,如果存在規模經濟,就會出現經濟發展水平提高后更多的資金投入到擴大再生產,創新的成果也可能由于不能夠快速規模化而被擱置,這種情形下經濟發展水平的提高反而降低了科技創新效率。通過觀察長江經濟帶沿線省市產業的發展情況,雖然涌現了一批創新型企業,但是整體而言,長江經濟帶沿線省市的經濟發展還是依賴規模驅動的。對外開放水平的提高促進了長江經濟帶及其下游地區科技創新效率的提高,降低了上游地區的科技創新效率,對中游地區科技創新效率的影響不顯著,主要是長江下游地區外向型經濟比較發達,FDI的技術溢出效應和企業間為了出口而展開競爭共同促進了技術創新效率的提升。相對而言,長江上游地區外向型經濟水平不高,為了追求低技術水平產品的出口規模而忽略了科技創新。由于當前科技創新主要出現在工業領域,第三產業比重的提升降低了第二產業的相對規模,可能會減少創新成果。因此,第三產業比重的提高降低了長江經濟帶及其上、中游地區的科技創新效率。人力資本的提升促進了長江經濟帶及上游、中游地區的科技創新效率,馬大來等[26]認為人力資本素質越高,有利于加快新技術的擴散速率,提升科技創新效率。創新基礎設施的改進顯著地提高了長江經濟帶及其下游地區的科技創新效率,創新基礎設施是實現科技技術突破、促進科技成果轉化、支撐創新創業的重要基礎,以“寬帶中國”戰略以及5G為代表的新基建不僅降低了創新過程中信息傳遞的成本,而且不斷拓展新的創新領域,從而有效地促進科技創新效率的提高。 通過比較長江經濟帶發展戰略實施前后的分時段情況下控制變量對科技創新效率的影響來看,其主要區別如下:一是在長江經濟帶發展戰略實施之前,經濟發展促進了長江經濟帶科技創新效率的提升,而長江經濟帶發展戰略實施之后經濟發展則降低了科技創新效率;二是長江經濟帶發展戰略實施后對外開放對科技創新效率的影響顯著增強,對外開放促進了長江經濟帶及其上游、下游地區科技創新效率的提高,降低了中游地區的科技創新效率;三是長江經濟帶發展戰略實施前第三產業比重增加提高了長江下游地區的科技創新效率,但是長江經濟帶發展戰略實施之后則恰恰相反,且對長江經濟帶及其中游地區的科技創新效率沒有顯著影響;四是長江經濟帶發展戰略實施后人力資本對科技創新效率的影響增強,且人力資本增加降低了長江中游地區的科技創新效率;五是創新基礎設施的提升在長江經濟帶發展戰略實施之前促進了上、下游地區科技創新效率的提高,但是在長江經濟發展戰略實施后其降低了長江上游地區的科技創新效率,提高了長江中、下游地區的科技創新效率。長江經濟帶發展戰略實施前后這些控制變量對科技創新效率的影響差別可能由于發展戰略與發展方式的深刻轉變,導致這些控制變量對長江經濟帶及其上、中、下游地區科技創新效率的影響程度出現了相對變化,譬如,長江經濟帶發展戰略實施后各地更加重視創新發展,由于長江中、下游地區經濟發展水平相對較高,其對創新基礎設施建設投入更大,創新基礎設施的提升對科技創新效率的影響超過了人力資本增加,使得人力資本的提升可能會降低科技創新效率,與此同時,長江上游地區由于經濟發展水平的原因導致創新基礎設施建設相對不足,人力資本增加對科技創新效率的影響則高于創新基礎設施的提升,也使得創新技術設施的提升可能會降低科技創新效率。 六、結論與對策建議 (一)結論 為了探究長江經濟帶科技創新效率的時空格局與收斂性,首先使用GS-SBM模型測度了長江經濟帶及其上、中、下游地區的科技創新效率,其次利用Malmquist指數考察了科技創新效率的變化趨勢及其驅動力,再次通過Dagum基尼系數考察了長江經濟帶及其上、中、下游地區的科技創新效率的區域差距,并分析了區域差距的來源,最后,分別采用Digma收斂、Beta絕對收斂和Beta條件收斂方法檢驗了長江經濟帶及其上、中、下游地區科技創新效率的收斂性。 一是長江經濟帶及其上、中、下游地區的科技創新效率呈現持續提升趨勢,其中,長江經濟帶發展戰略提出之后,長江經濟帶及其上、中、下游地區的科技創新效率更加明顯,且彼此間的差距有所擴大;二是Malmquist指數的結果進一步驗證了長江經濟帶及其上、中、下游地區的科技創新效率持續提升,同時,Malmquist指數的分解結果表明在長江經濟帶發展戰略實施之前科技創新效率的提高來自技術進步與技術效率的雙重驅動,但是在高更多地來自技術進步;三是長江經濟帶及其上、中、下游地區的科技創新效率一方面存在較大的空間差距,但是另外一方面這種差距也有趨于縮小,超變密度對長江經濟帶科技創新效率的總體差異貢獻最大;四是無論是Sigma收斂法還是Beta絕對(相對)收斂法都說明長江經濟帶及其上、中、下游地區的科技創新效率處于擴散狀態,且長江經濟帶發展戰略的實施強化了這一擴大態勢;五是經濟發展水平、對外開放程度、產業結構調整、人力資本與創新基礎設施的投入都會影響到長江經濟帶及其上、中、下游地區的科技創新效率,但是由于不同區域的發展水平、發展模式、資源稟賦等方面的差異,這些因素對科技創新效率的影響不同,且在長江經濟帶發展戰略實施之后,也改變了其對科技創新效率的影響程度。 (二)對策建議 第一,科學客觀地看待長江經濟帶科技創新效率的差距。一方面由于長江經濟帶上、中、下游地區創新的基礎條件與資源稟賦存在較大的差異,客觀上導致了科技創新效率的區域差異, 另外一方面長江經濟帶上、中、下游地區科技創新效率的差距是在發展中形成的差距,即長江經濟帶上、中、下游地區的科技創新效率一直保持著提升的趨勢,并非大幅度提升與下降之間形成的差距,且這些差距呈現出下降趨勢。習近平總書記指出不平衡是普遍的,要在發展中促進相對平衡。要實現長江經濟帶及其上、中、下游地區科技創新效率的區域協調,要堅持因地制宜的原則,根據各地區科技創新的基礎條件和比較優勢,不斷優化科技創新要素與資源的配置水平,形成有效的科技創新效率提升路徑。 第二,積極發揮長江經濟帶發展戰略對提升科技創新效率的作用。長江經濟帶發展戰略實施后不僅各地區科技創新效率明顯提高,而且沒有導致科技創新效率的收斂程度縮小,這說明長江經濟帶發展戰略可能加速了科技創新效率的提高。長江經濟帶發展戰略通過構建現代產業體系、建設新型城鎮化和區域一體化,深刻地改變了新的集聚效應,改善了科技創新資源與要素的配置效率。因此,要繼續深入貫徹習近平總書記關于長江經濟帶發展戰略的指示精神,積極落實《長江經濟帶發展規劃綱要》《“十四五”長江經濟帶發展實施方案》等戰略規劃,以長江經濟帶的高質量發展提升科技創新效率。 第三,大力落實科教興國戰略來增強提升科技創新效率的動力。科技創新效率強調了科技創新資源與要素的節約、高效利用,但是并不否認創新投入與產出的擴大以及創新成果水平的提高,事實上,長江經濟帶作為國家重大戰略發展區域之一,更加需要科技創新成果的量質齊升,由此可見,長江經濟帶的科技創新效率提高是要建立在統籌科技創新規模與質量的基礎之上。要提高科技創新的規模與質量,除了擴大創新資源與要素的投入外,還需要提高這些創新資源與要素的質量,并利用科技創新體制機制的改革來破解制約創新的制度型障礙。通過落實科教興國戰略,能夠為科技創新提供高質量的創新資源與要素以及良好的創新環境,為科技創新效率的提升提供源源不斷的強大動力。 注:原文載自《中國軟科學》2024年第1期。文中部分圖片來源于網絡,版權歸原作者所有。 參考文獻 [1]劉愛芹,張偉.區域技術創新效率的測度與評價:基于山東省的實證研究[J].山東財政學院學報,2008(6):51-55. [2]孫凱.基于EDA的區域創新系統創新效率評價研究[J].科技管理研究,2008(3):139-141. [3]李婧,白俊紅,譚清美.中國區域創新效率的實證分析:基于省際面板數據及DEA方法[J].系統工程,2008(12):1-7. [4]李南,謝忠秋.中國區域創新系統創新效率測評:基于DEA方法的實證研究[J].工業技術經濟,2010(8):122-126. [5]李政,楊思瑩.財政分權、政府創新偏好與區域創新效率[J].管理世界,2018(12):29-42. [6]王春枝,趙國杰.基于非徑向SE-C2R模型與譜系聚類的中國區域創新效率分析[J].中國軟科學,2015(11):68-80. [7]韓兆洲,程學偉.中國省域R&D投入及創新效率測度分析[J].數量經濟技術經濟研究,2020(5):98-117. [8]朱承亮.國家科技創新效率測算與國際比較[J].中國軟科學,2023(1):1-12. [9]白俊紅,蔣伏心.協同創新、空間關聯與區域創新績效[J].經濟研究,2015(7):174-187. [10]趙慶.產業結構優化升級能否促進技術創新效率?[J].科學學研究,2018(2):239-248. [11]趙凱旭,楊永春,李恩龍,等.中國區域創新效率時空演及其影響因素研究[J].西北大學學報(自然科學版),2019(3):437-448. [12]余泳澤,劉大勇.我國區域創新效率的空間外溢效應與價值鏈外溢效應:創新價值鏈視角下的多維空間面板模型研究[J].管理世界,2013(7):6-20. [13]趙增耀,章小波,沈能.區域協同創新效率的多維溢出效應[J].中國工業經濟,2015(1):32-44. [14]劉華軍,王耀輝,雷名雨.中國戰略性新興產業的空間集聚及其演變[J].數量經濟技術經濟研究,2019(7):99-116. [15]李欠男,李谷成,尹朝靜.中國農業綠色發展水平的地區差異及收斂性:基于地級市面板數據的實證[J].中國農業大學學報,2022(2):230-242. [16]呂巖威,謝雁翔,樓賢駿.中國區域綠色創新效率時空躍遷及收斂趨勢研究[J].數量經濟技術經濟研究,2020(5):78-97. [17]韓兆洲,程學偉.國省域R&D投入及創新效率測度分析[J].數量經濟技術經濟研究,2020(5):98-117. [18]楊蹇,劉鑫鵬,孫淑惠.中國科技創新效率的時空格局及收斂性檢驗[J].數量經濟技術經濟研究,2021(12):105-123. [19]PASTOR J.T., LOVELL C.A.K. (2005). A Global Malmquist Productivity Index [J], Economic Letters, 88(2), 266-271. https://doi.org/10.1016/j.econlet.2005-02-13. [20]COOPER, W.W., SEIFORD,L.M. (2007). Data Envelopment Analysis: A Comprehensive Text with Models, Applications, References and DEA-solver Software [M], New York: Springer. [21]BARRO, R..J., SALA-I-MARTIN, X. (1992). Convergence [J]. Journal of Political Economy, 100 (2), 223-251. https://doi.org/10.1086/261816. [22]BARRO, R..J. (1991). Economic Growth in a Cross Section of Countries [J], The Quarterly Journal of Economics, 106(2), 407-443. https://doi.org/10.2307/2937943. [23]MANKIW N.G., ROMER D., WEIL D.N. (1992). A Contribution to the Empirics of Economic Growth [J], The Quarterly Journal of Economics, 107(2), 407-437. https://doi.org/10.2307/2118477. [24]GALOR O.,(1996). Convergence? Inference from Theoretical Models [J], The Economic Journal, 106 (437), 1056-1069. https://doi.org/10.2307/2235378. [25]樊華,周德群.中國省域科技創新效率演化及其影響因素研究[J].科研管理,2012(1):10-18. [26]馬大來,陳仲常,王玲.中國區域創新效率的收斂性研究:基于空間經濟學視角[J].管理工程學報,2017(1):71-78. [27]吳延兵.R&D存量、知識函數與生產效率[J].經濟學(季刊),2006(4):1129-1156. [28]劉建翠,鄭世林.中國研發(R&D) 資本存量估計:1978-2012[J].經濟與管理研究,2015(2):18-25. [29]寇宗來,楊燕青編.中國城市和產業創新力報告[R].上海:復旦大學產業發展研究中心,2017. [30]ZHENG J, LIU X, BIGSTEN A. (1998). Ownership Structure and Determinants of Technical Efficiency: An Application of Data Envelopment Analysis to Chinese Enterprises (1986–1990) [J], Journal of Comparative Economics, 26 (3), 465-484. https://doi.org/10.1006/jcec.1998.1540. [31]徐杰,朱承亮.資源環境約束下少數民族地區經濟增長效率研究[J].數量經濟技術經濟研究,2018(11):95-110. [32]DAGUM, C. (1998). A New Approach to the Decomposition of the Gini Income Inequality Ratio. In: Slottje, D.J., Raj, B. (eds) Income Inequality, Poverty, and Economic Welfare [M]. Studies in Empirical Economics. Physica-Verlag HD. https://doi.org/10.1007/978-3-642-51073-1_4. [33]盛彥文,駱華松,宋金平,等.中國東部沿海五大城市群創新效率、影響因素及空間溢出效應[J].地理研究,2020(2):257-271. | |||||
相關鏈接
- 潘小海 | 系統謀劃重點突破 全...2024-02-27
- 張英健 木其堅 | 千年大計綠色...2024-02-22
- 秦永芳 陳雷 | ?基于國家食品...2024-02-21
- 張建紅 | XOD模式價值實現機...2024-02-18
- 姜富華 邢智慧 紀興華 | 美國...2024-02-05













